依据《光伏发电站设计规范》(GB50797-2012),光伏阵列间距的计算以“保证光伏阵列冬至日日照时长6小时/天”为目标。(即保证冬至日6个小时日照,下文中:保证冬至日光伏阵列的日照时长简称为:日照时长)。
目前国内不同纬度建设的地面光伏电站,均依据该规范完成光伏阵列间距的计算,未考虑因纬度、日照时长的不同,光伏阵列距离变化所引起的辐射量及发电量折减;同时也未考虑该变化引起光伏电站占地面积、投资的差异。
本文将针对上述情况进行研究,并分析由此引起的发电量损失和投资变化之间的关系,提出不同纬度光伏电站建议采用的日照时长。根据经典公式进行计算间距,下式:
本文首先依据上式推算不同日照时长条件下全年逐天光伏阵列被遮挡的时段,可计算出全年逐天水平地面接受的辐射量。从而得出光伏阵列倾斜面全年可利用辐射量率(即:可发电量率)。
同时,依据上式可得上述约束条件下的光伏阵列间距,从而得到光伏电站单位MWp占地面积。因占地面积的变化将引起光伏电站部分材料投资变化(例如:电缆投资)、土地费用变化等。
为简化投资变化的计算,光伏电站造价取值原则如下:
1)电站除因占地引起的设备、材料投资变化外,其它投资不变;
2)光伏组件单价取4.5元/Wp、逆变器单价取0.5元/Wp。其它材料价格均参考电力定额价格;
3)不考虑因地形变化引起的投资变动;
4)土地征占按照有偿、无偿两种方式分别计算,土地价格取0.5万元/亩。


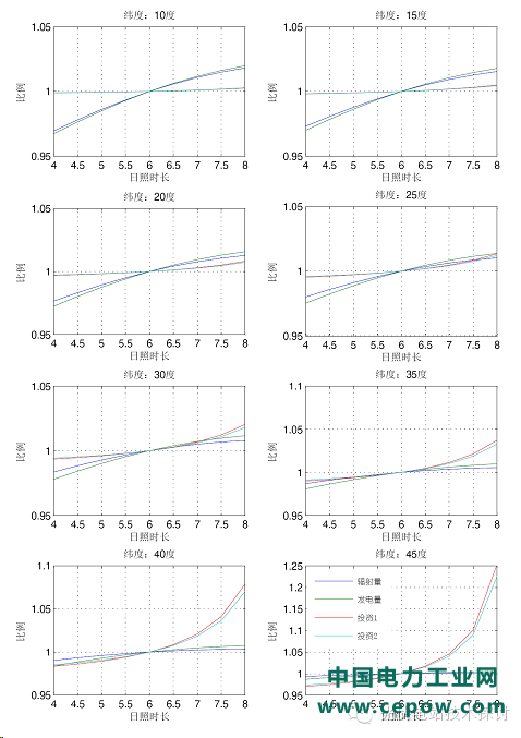
结合表1与图1~图2,分析上述计算结果,可得如下结论:
1)日照时长不同的条件下,低纬度地区电站可利用辐射值比例、可发电量比例显著变化。而高纬度地区电站可利用辐射值比例、可发电量比例变化不明显。且低纬度地区电站投资差异较小;而高纬度地区电站投资差异显著。可以看出随着纬度增高引起电站占地面积增大,导致电站投资显著增加。
2)日照时长相同的条件下,高纬度地区电站可发电量比例均高于低纬度地区。电站可发电量比例与纬度呈正相关。
3)纬度低于25?时,可发电量比例的增加高于投资比例的增加;反之,纬度高于30?时,投资比例的增加则高于可发电量比例的增加。故建议低纬度地区光伏电站的日照时长增至7~8小时,高纬度地区的日照时长则应减至6小时以下。
4)而纬度介于25?~30?时,在日照时长为6~7小时情况下,投资比例的增加与发电量的比例的增加基本一致。故建议此时日照小时数可取6~7小时。
5)由图2分析得知:随着日照时长的增大,可发电量比例曲线与投资比例曲线的交点向低纬度偏移。由此得出各纬度的最佳日照时长曲线,如图3。

按照上述结论:以建设在纬度40?的光伏电站为例,按照日照时长为6小时:理论上电站可发电率99.19%,电站占地28.47亩;如按照图3中日照时长取5小时:理论上电站可发电率99.67%,电站占地25.58亩。电站可发电率减少0.48%,电站占地面积减少2.89亩(10.15%)。按照前文的造价原则,电站按照土地有偿、无偿的方式,分别减少投资约8.57万元(10.13%)、7.13万元(10.13%)。可见,光伏电站选取最佳日照时长后效益显著。
综上所述:光伏电站阵列间距的计算应依据纬度、投资水平的不同进行分析并论证。如该地区已有实测光资源数据,还应结合光资源数据进行分析,以期达到节约土地、控制投资、提高电站收益的目的。