发明专利要点简析:
1 .一种面向微电网综合能量管理的分层多目标优化方法,其特征在于,包括以下步骤:
(1)根据供需两侧建立微电网能量管理优化调度模型,并选择算法进行求解;
(2)在求解过程中,首先对种群初始化,在初始化过后,对种群先进行评价,通过评价寻找到一个最佳个体;
(3)以最佳个体对表现较差的个体进行不包含负荷的其他可变量进行同化,种群同化后,就开始进行负荷调度,在负荷调度后进行一次种群所有个体的评价,寻找一个代表性的个体为负荷调度最佳个体;
(4)通过负荷调度最佳个体来对种群中的其他个体仅进行负荷同化,其他可变量保持不变,而后开始进行各电源、储能调度管理,在各电源、储能调度后,通过负载和微电网内电源输出总功率差值确定电网与微电网之间的功率交换值;
(5)对种群所有个体进行评价,得到各子目标的优化值,对于越界情况则采取惩罚措施降低其评价适应度,得到评价后对所有个体进行Pareto非支配排序,对统一支配等级的个体进行空间分布均匀度的排序,寻找代表性的最佳个体;判断是否完成迭代,若未完成则返回到步骤(3)。
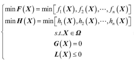
2.根据权利要求1所述的面向微电网综合能量管理的分层多目标优化方法,其特征在于,所述调度模型为:

其中,F为微电网运行中经济效益和环境成本优化目标,H为负荷调度过程中负荷平滑度以及负荷峰值目标,fi为第i个微电网运行中经济效益和环境成本优化子目标,hi为第i个负荷调度过程中负荷平滑度以及负荷峰值子目标,X为变量因素,Ω是可行解空间,G则代表等式约束条件,L则代表不等式约束条件。
3.根据权利要求1所述的面向微电网综合能量管理的分层多目标优化方法,其特征在于,所述步骤(3)中的种群同化是通过最佳个体将Pareto非支配排序后,将最佳的前端保留,而对较差的个体强行同化。
4.根据权利要求1所述的面向微电网综合能量管理的分层多目标优化方法,其特征在于,所述步骤(3)和步骤(4)中的负荷调度和各电源、储能调度均属于算法的变异交叉过程。
5.根据权利要求4所述的面向微电网综合能量管理的分层多目标优化方法,其特征在于,所述的变异过程是一种混合性的变异,将种群分割为两个独立的小种群,在变异过程中为了保证种群的多样性,总保留固定比例的个体参加随机变异,不受另一个小种群的干扰;
而另一个小种群则采取一种牺牲种群多样性但提升算法搜索能力的变异策略,并且变异个体部分来源于另一个小种群,是一种交叉性质的变异。
6.根据权利要求1所述的面向微电网综合能量管理的分层多目标优化方法,其特征在于,所述步骤(4)中储能是动态变化的,其基于微电网动态运行考虑,针对不同的储能需要针对其不同充放电倍率考虑其约束条件。
7 .根据权利要求1所述的面向微电网综合能量管理的分层多目标优化方法,其特征在于,所述步骤(5)中的对所有个体进行Pareto非支配排序是以Pareto理论为基础进行的目标非支配排序,而针对在同一支配层的个体为了保持种群的空间均匀分布,则运用空间分布思想来进行进一步排序。